Publication de Maxime Barbier

L'article intitulé "Magnetic properties of the (Mo2/3R1/3)2AlC (R=Ho,Dy) i?MAX phases studied by x-ray magnetic circular dichroism and neutron diffraction" a été publié dans Physical Review B.
    • au
Ici vous trouverez l'article de Maxime Barbier :
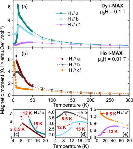
"We report on the magnetic properties of single crystals of Ho- and Dy-based (Mo2/3R1/3)2AlC iMAX phases. In these nanolamellar compounds, where planes of R and Mo arranged in a skewed triangular lattice are separated by planes of Al and C, geometrical frustration and magnetic exchange interactions lead to complex magnetic properties. Temperature-dependent bulk magnetization, specific heat, and resistivity measurements reveal two magnetic phase transitions in Dy iMAX (15 and 12 K) and only one in Ho iMAX (8.5 K). Strong magnetic anisotropy and metamagnetic transitions with a step at 13 of saturation moment along the crystal a axis are observed in field-dependent bulk magnetization curves. X-ray magnetic circular dichroism measurements unveil induced moments on Mo and Al, and a quantitative estimation of the orbital and spin moments of Mo based on magneto-optical sum rules suggests an unusual interaction between the R 4f and the Mo 4d magnetic moments. Magnetic structures are derived from neutron diffraction measurements, revealing a zero-field incommensurate amplitude modulated order in both compounds, followed by an antiferromagnetic equal-moments structure at lower temperature for Dy iMAX. The bulk magnetization 13 step is found to be linked to the flip of one R moment out of three within the planes. Detailed phase diagrams for Ho and Dy iMAX are derived from these measurements."