Publication de Evgeni Skopin

L'article intitulé "In situ ellipsometry monitoring of TiO2 atomic layer deposition from Tetrakis(dimethylamido)titanium(IV) and H2O precursors on Si and In0.53Ga0.47As substrates" a été publié dans Thin Solid Films.
    • au
Ici vous trouverez l'article de Evgeni Skopin
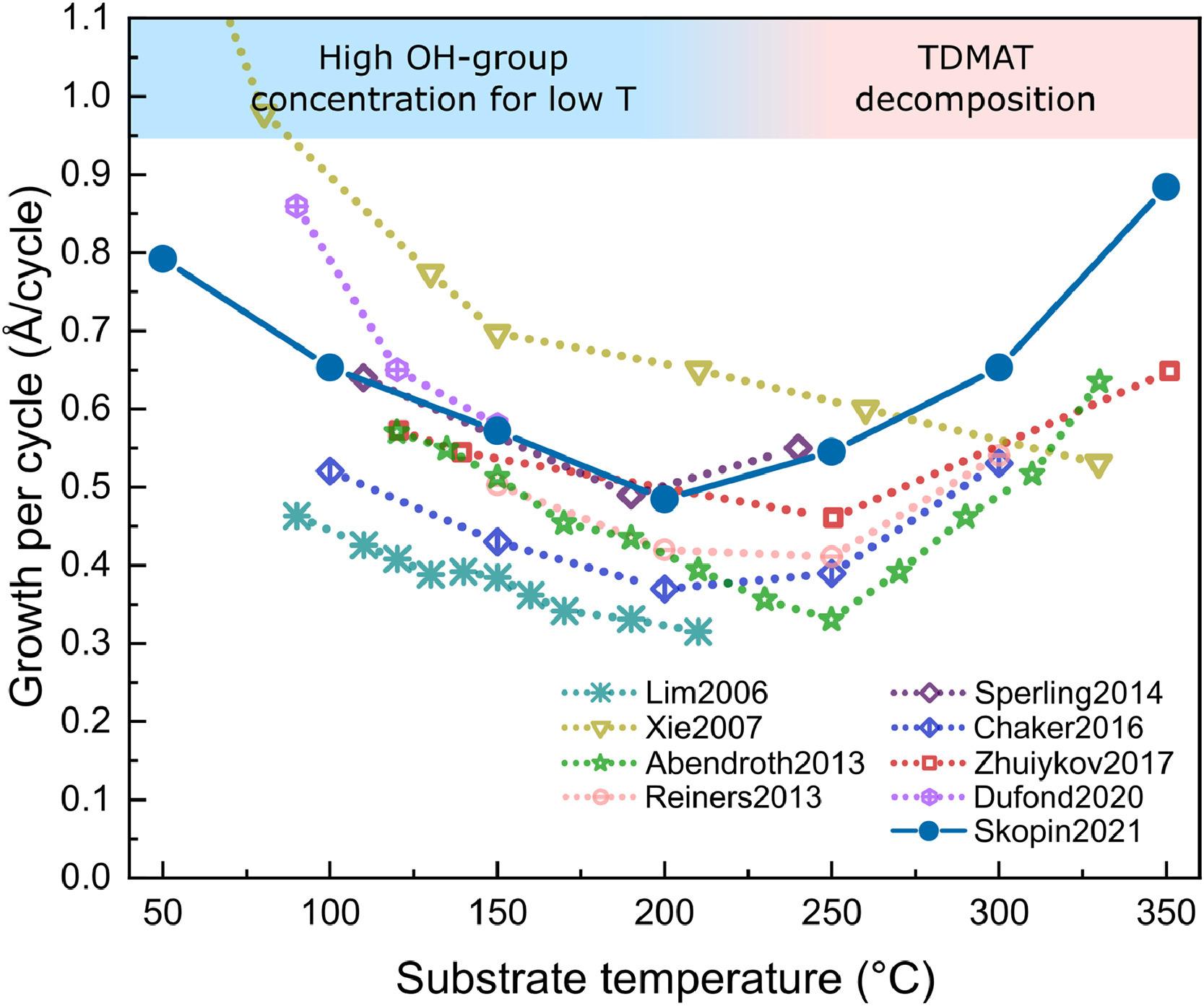
"TiO2 Atomic Layer Deposition (ALD) is used in microelectronics due to its ability to produce conformal thin films whose thickness is controlled at the sub-nanometer scale. Tetrakis(dimethylamido)titanium(IV) and water are frequently used precursors for TiO2 ALD, although there are still some differences in growth behavior in the literature. In this parametric study, the growth of TiO2 was controlled in situ by Multi-Wavelength Ellipsometry in combination with ex situ thickness measurements by X-ray Reflectometry. The injection and purge times were optimized to reach self-saturation on the surface. We put in evidence two regions of the Growth Per Cycle (GPC) as a function of substrate temperature: GPC decreases from 0.8 Å cy-1 to 0.5 Å cy-1 as the temperature rises from 50 °C to 200 °C, and then GPC increases from 0.6 Å cy-1 to 0.9 Å cy-1 as the temperature rises from 250 °C to 350 °C. There is no evidence of an ALD window - the temperature region where the growth rate is the same. The stoichiometry of the layer grown at 200 °C, determined by X-ray Photoelectron Spectroscopy, is TiO2 (1 Ti atom per 2 O atoms). The 200 °C as-grown sample becomes crystalline (Anatase crystals) after annealing 3 h in air at 400 °C, or at 600 °C. The initial growth stages of TiO2 were studied by Multi-Wavelength Ellipsometry and Atomic Force Microscopy. Regarding TiO2 ALD on (100)Si substrate (with a native SiO2), we observed a substrate enhanced growth which turned into steady-state ALD beyond 20–30 cycles. Additionally, TiO2 ALD on (001)In0.53Ga0.47As substrate demonstrates substrate inhibited growth of type 2 (islands formation) which turned into TiO2 steady-state ALD beyond 20–30 cycles. The results of TiO2 ALD are compared with those of the existing literature.