Publication by Laetitia Bardet & Daniel Bellet

The paper "Exploring the degradation of silver nanowire networks under thermal stress by coupling in situ X-ray diffraction and electrical resistance measurements" has been published in Nanoscale
    • to
Here you'll find the AgNW team's paper
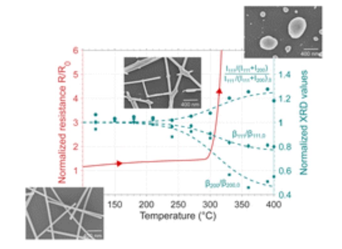
"The thermal instability of silver nanowires (AgNWs) leads to a significant increase of the electrical resistance of AgNW networks. A better understanding of the relationship between the structural and electrical properties of AgNW networks is primordial for their efficient integration as transparent electrodes (TEs) for next-generation flexible optoelectronics. Herein, we investigate the in situ evolution of the main crystallographic parameters (i.e. integrated intensity, interplanar spacing and peak broadening) of two Ag-specific Bragg peaks, (111) and (200), during a thermal ramp up to 400 °C through in situ X-ray diffraction (XRD) measurements, coupled with in situ electrical resistance measurements on the same AgNW network. First, we assign the (111) and (200) peaks of χ-scans to each five crystallites within AgNWs using a rotation matrix model. Then, we show that the thermal transition of bare AgNW networks occurs within a temperature range of about 25 °C for the electrical properties, while the structural transition spans over 200 °C. The effect of a protective tin oxide coating (SnO2) on AgNW networks is also investigated through this original in situ coupling approach. For SnO2-coated AgNW networks, the key XRD signatures from AgNWs remain constant, since the SnO2 coating prevents Ag atomic surface diffusion, and thus morphological instability (i.e. spheroidization). Moreover, the SnO2 coating does not affect the strain of both (111) and (200) planes. The thermal expansion for bare and SnO2-coated AgNW networks appears very similar to the thermal expansion of bulk Ag. Our findings provide insights into the underlying failure mechanisms of AgNW networks subjected to thermal stress, helping researchers to develop more robust and durable TEs based on metallic nanowire networks."