Paper by Maxime Barbier

The paper "Mo4Ce4Al7C3: A nanolamellar ferromagnetic Kondo lattice" has been published in Physical Review B
    • to
Here you will find the paper by Maxime Barbier

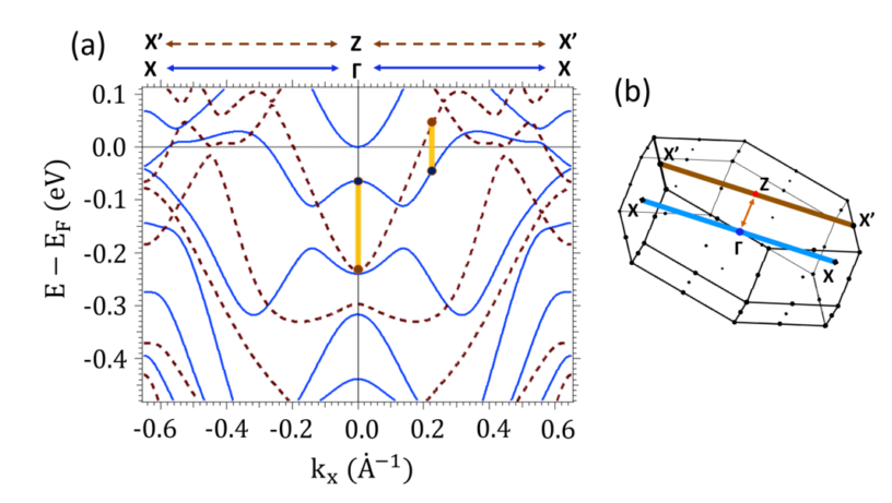
"Herein we show that Mo4Ce4Al7C3, a recently discovered nanolamellar compound displaying mixed valence, combines Kondo lattice behavior with ferromagnetism. A sizeable magnetization is carried by 3p states of Al as evidenced by a strong x-ray magnetic circular dichroism signal at the K edge of aluminum, whereas no detectable signal was observed at the K edge of carbon and L2,3 edges of molybdenum. These results point out that the ferromagnetic behavior originates in the Ce atoms with 4f1 electronic configuration lying within the Al planes. The evolution with pressure of the mixed valence of Ce atoms in the Mo-C planes determined via Ce L3 x-ray-absorption spectra along with the magnetoresistance measurements across the ferromagnetic transition unambiguously reveal a Kondo behavior. Angle-resolved photoemission spectroscopy and density functional theory confirm a certain degree of Ce 4f electron delocalization. More generally, conduction electrons are not restricted to lie in the MoC planes but are also delocalized in the Al planes."