Nouvel article de Michel Boudard

Le papier "Spin transitions in La0.7 Ba0.3CoO3 thin films revealed by combining Raman spectroscopy and X-ray diffraction" a été publié dans Journal of Applied Physics
Ici vous vous trouverez le papier de Michel Boudard

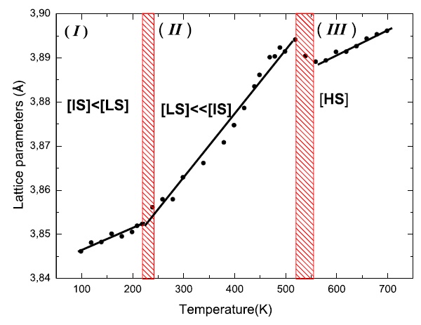
"In cobaltite, the spin states transitions of Co3þ/4þ ions govern the magnetic and electronic conduction properties. These transitions are strain-sensitive and can be varied using external parameters, including temperature, hydrostatic pressure, or chemical stresses through ionic substitutions. In this work, using temperature  dependent Raman spectroscopy and X-ray diffraction, the epitaxial strain effects on both structural and vibrational properties of La0.7 Ba0.3 CoO3 (LBCO) cobaltite thin films are investigated. All Raman active phonon modes as well as the structure are found to be strongly affected. Both Raman modes and lattice parameter evolutions show temperature changes correlated with magnetic and electronic transitions properties. Combining Raman spectroscopy and X-ray diffraction appears as a powerful approach to probe the spin transition in thin film cobaltite. Our results
provide insight into strong spin-charge-phonon coupling in LBCO thin film. This coupling manifests  as vibrational transition with temperature in the Raman spectra near the ferromagnetic spin ordered transition at 220K"